Байгууллагын үйл ажиллагаа, үр дүнг үнэлж дүгнэх журам
| Эрх зүйн актын төрөл: | Засгийн газрын тогтоол | Актын дугаар: | |
| Батлагдсан огноо: | 2025-01-29 | Дагаж мөрдөх огноо: | 2025-05-01 |
Засгийн газрын 2025 оны 01 дүгээр сарын 29-ний өдрийн
43 дугаар тогтоолын 3 дугаар хавсралт
БАЙГУУЛЛАГЫН ҮЙЛ АЖИЛЛАГАА, ҮР ДҮНГ ҮНЭЛЖ ДҮГНЭХ ЖУРАМ
НЭГ. НИЙТЛЭГ ҮНДЭСЛЭЛ
1.1. Энэ журмаар Засгийн газар дахь хяналтын тухай хуулийн 3.1-д заасан байгууллага (цаашид "байгууллага" гэх)-ын үйл ажиллагааны үр дүнг үнэлж, дүгнэх, хууль, Улсын Их Хурлын бусад шийдвэр, Ерөнхийлөгчийн зарлиг, Засгийн газрын тогтоол, захирамж, хуралдааны тэмдэглэл (хууль тогтоомж, тогтоол, шийдвэр)-ийн хэрэгжилтэд хяналт-шинжилгээ хийхтэй холбогдсон харилцааг зохицуулна.
1.2. Засгийн газар дахь хяналтын тухай хуулийн 3.1-д зааснаас бусад төрийн байгууллагын үйл ажиллагааг үнэлэхэд энэ журмыг баримталж болно.
ХОЁР. БАЙГУУЛЛАГЫН ГҮЙЦЭТГЭЛИЙН ТӨЛӨВЛӨГӨӨНИЙ ХЭРЭГЖИЛТЭД ХЯНАЛТ-ШИНЖИЛГЭЭ ХИЙХ
2.1. Байгууллагын хяналт-шинжилгээний асуудал хариуцсан нэгж нь байгууллагын гүйцэтгэлийн төлөвлөгөөний хэрэгжилтэд хагас жил тутам, төрийн албан хаагчийн сургалт, ажиллах нөхцөл, нийгмийн баталгааны хөтөлбөрийн хэрэгжилтэд жил тутам хяналт-шинжилгээ хийнэ.
2.2. Хяналт-шинжилгээний асуудал хариуцсан нэгж нь гүйцэтгэлийн төлөвлөгөөний хэрэгжилтэд хийсэн хяналт-шинжилгээний дүнг удирдлагын (зөвлөл) багийн хурлаар хэлэлцүүлж, гарсан шийдвэр, хэрэгжилтийн тайлан, хяналт-шинжилгээний дүнг танилцуулгын хамт нэгдсэн системд байршуулж баталгаажуулна.
2.3. Байгууллагын гүйцэтгэлийн төлөвлөгөөний хэрэгжилт, гүйцэтгэлийг урьдчилан тодорхойлсон шалгуур үзүүлэлтийн дагуу хэмжиж, үнэлэлт өгөх байдлаар хяналт-шинжилгээг хэрэгжүүлнэ.
2.4. Байгууллагын гүйцэтгэлийн төлөвлөгөөний хэрэгжилтийг урьдчилан тодорхойлсон шалгуур үзүүлэлтийн дагуу зорилт, арга хэмжээ тус бүрээр дараах аргачлалын дагуу хувиар илэрхийлж дүгнэнэ.
2.5. Байгууллагын гүйцэтгэлийн төлөвлөгөөний хэрэгжилтийг дүгнэхдээ энэ журмын 2.4-т заасан аргачлалын дагуу дүгнэж, дараах ангилалд шилжүүлэн тооцно:
2.5.1. төлөвлөгөөний хэрэгжилт 85 буюу түүнээс дээш хувь бол "бүрэн хангалттай" (арга хэмжээ оновчтой тодорхойлогдсон, зорилтот түвшиндээ хүрсэн, удирдлага зохион байгуулалт сайн, үр дүн гарсан, эсхүл шалгуур үзүүлэлт, зорилтот түвшиндээ бүрэн хүрээгүй, үр дүн гарч эхэлсэн);
2.5.2. төлөвлөгөөний хэрэгжилт 70 - 85 хүртэл хувь бол "хангалттай" (шалгуур үзүүлэлт, зорилтот түвшиндээ бүрэн хүрээгүй, зохион байгуулалт, хариуцлагыг сайжруулах);
2.5.3. төлөвлөгөөний хэрэгжилт 70 хүртэл хувь бол "хангалтгүй" (удирдлага, зохион байгуулалт хангалтгүй, төсөв хөрөнгийг үр дүнтэй зарцуулж чадаагүй нь баримтаар нотлогдсон.).
2.6. Нэгдсэн системд байршуулсан тайлангийн үнэн бодит байдлыг байгууллагын эрх бүхий албан тушаалтан бүрэн хариуцна.
ГУРАВ. ХУУЛЬ ТОГТООМЖ, ТОГТООЛ, ШИЙДВЭРИЙН ХЭРЭГЖИЛТИЙГ ТАЙЛАГНАХ, ХЯНАЛТ-ШИНЖИЛГЭЭ ХИЙХ
3.1. Засгийн газрын Хяналт хэрэгжүүлэх газар (цаашид "Хяналт хэрэгжүүлэх газар" гэх) нь хууль тогтоомж, тогтоол шийдвэрийг нэгдсэн системд бүртгэж, хэрэгжилтэд хяналт тавих, хяналт-шинжилгээ хийх ажлыг улсын хэмжээнд удирдан зохион байгуулна.
3.2. Байгууллагын хууль тогтоомж, тогтоол шийдвэрийн асуудал хариуцсан ажилтан хэрэгжилтийн тайланг энэ журмын 2 дугаар хавсралтад тусгасан маягтын дагуу нэгтгэж, байгууллагын хяналт-шинжилгээний асуудал хариуцсан нэгжид хүргүүлнэ.
3.3. Байгууллага нь хууль тогтоомж, тогтоол шийдвэрийн хэрэгжилтийг харьяалах дээд шатны байгууллагад тайлагнана.
3.4. Төрийн захиргааны төв байгууллага, Засгийн газрын агентлаг, аймаг, нийслэлийн Засаг даргын Тамгын газар нь чиг үүрэгт хамаарах хууль тогтоомж, тогтоол шийдвэрийн хэрэгжилтийг нэгтгэн улирал тутам тайлагнаж, явц, үр дүнд хагас жил тутам хяналт-шинжилгээ хийж, дүнг энэ журмын 1 дүгээр хавсралтад заасан хугацаанд нэгдсэн системд байршуулна. Тайланд холбогдох нотлох баримтыг хавсаргана.
3.5. Хяналт хэрэгжүүлэх газар нь энэ журмын 3.4-т заасны дагуу нэгдсэн системд байршуулсан байгууллагын хууль тогтоомж, тогтоол шийдвэрийн хэрэгжилтэд хагас жил тутам хяналт-шинжилгээ хийж, нэгдсэн дүнг зохих журмын дагуу Засгийн газарт танилцуулна.
3.6. Засгийн газрын Хэрэг эрхлэх газрын дарга Засгийн газрын хуралдаанд танилцуулсан холбогдох тайланг энэ журмын 1 дүгээр хавсралтаар баталсан цаглабарт заасан хугацаанд Улсын Их Хурлын Тамгын газар, Ерөнхийлөгчийн Тамгын газарт тус тус хүргүүлнэ.
3.7. Хууль тогтоомж, тогтоол шийдвэрийн хэрэгжилтийг дараах аргачлалаар дүгнэнэ:
3.7.1. "хэрэгжсэн" - үүрэг, даалгаврын хэрэгжилт бүрэн хангагдсан (зорилтот түвшиндээ бүрэн хүрсэн, төсөв санхүүгийн асуудлыг шийдэж, зохион байгуулалтын арга хэмжээ авсан, удирдах дээд байгууллагад өргөн барьсан гэх мэт төлөвлөсөн үр дүн гарсан);
3.7.2. "хэрэгжээгүй" - (шийдвэрийн үүрэг, даалгаврыг хэрэгжүүлэхэд шаардлагатай тооцоо судалгаа, бэлтгэл ажил, боловсруулалтын шатанд байгаа, төсөв шийдэгдсэн боловч хэрэгжүүлэх талаар зохион байгуулалтын арга хэмжээ аваагүй);
3.7.3. "хугацаа болоогүй" - (шийдвэрт тусгайлан заасан хугацаа болоогүй, эсхүл өөрөөс хамаарах зохион байгуулалтын арга хэмжээ авч хэрэгжүүлсэн боловч бусад хүчин зүйлээс шалтгаалан хэрэгжилт хангагдаагүй, мөн урт хугацаанд хэрэгжүүлэх шаардлагатай бол - ( ХБ )).
3.8. Хууль тогтоомж, тогтоол шийдвэрийн хэрэгжилтийн ерөнхий дүнг дараах томьёогоор тооцож гаргана:
3.9. Хууль тогтоомж, тогтоол шийдвэрийг бүрэн хэрэгжүүлээгүй, холбогдох нотлох баримтыг хавсаргаагүй, цаглабарт заасан хугацаанд хэрэгжилтийг нэгдсэн системд тайлагнаагүй, 2 буюу түүнээс олон удаа товлосон хугацаанд тайлагнаагүй, 2 жил дараалан үүрэг даалгавар биелэгдээгүй бол ерөнхий дүнгээс 5-10 оноо хасаж тооцно.
3.10. Байгууллага, албан тушаалтан дараах тохиолдолд шийдвэрийг хяналтаас хасах тухай саналыг Хяналт хэрэгжүүлэх газарт хүргүүлнэ:
3.10.1. бүрэн хэрэгжсэн;
3.10.2. бодит шалтгааны улмаас хэрэгжих боломжгүй болсон;
3.10.3. цаг хугацааны хувьд ач холбогдолгүй болсон;
3.10.4. тухайн шийдвэр хүчингүй болсон;
3.10.5. шийдвэрт заасан хугацаа дууссан;
3.10.6. тухайн асуудлаар дахин шийдвэр гарсан;
3.10.7. чиг үүрэгт хамааралгүй.
3.11. Цаг хугацааны хувьд ач холбогдолгүй болсон хэдий ч үр дагавар нь үргэлжлэх шинжтэй заалтыг хяналтаас хасахгүй.
3.12. Хяналт хэрэгжүүлэх газар энэ журмын 3.10-д заасан саналыг хянаж, үндэслэлтэй гэж үзвэл зохих журмын дагуу Засгийн газрын хуралдаанд танилцуулж, гарсан шийдвэрийн дагуу нэгдсэн системд бүртгэл хийж, хяналтаас хасна.
3.13. Шаардлагатай тохиолдолд Хяналт хэрэгжүүлэх газар энэ журмын 3.12-т заасан үндэслэлээр хууль тогтоомж, тогтоол шийдвэрийн хэрэгжилтийг газар дээр нь шалгаж, холбогдох арга хэмжээг авч болно.
3.14. Хяналт хэрэгжүүлэх газраас энэ журмын 3.13-т заасан хяналтын хүрээнд хууль тогтоомж, тогтоол шийдвэрийн хэрэгжилтийг сайжруулах чиглэлээр хүргүүлсэн зөвлөмжийг хүлээн авсан байгууллага холбогдох арга хэмжээг авч, биелэлтийг цаглабарт заасан хугацаанд хүргүүлнэ.
ДӨРӨВ. БАЙГУУЛЛАГЫН ҮЙЛ АЖИЛЛАГААГ ДҮГНЭХ
4.1. Хяналт хэрэгжүүлэх газар нь байгууллагын үйл ажиллагааг дүгнэх ажлыг нэгдсэн удирдлага, зохицуулалтаар хангаж, хэрэгжилтэд нь хяналт тавьж ажиллана.
4.2. Төрийн захиргааны төв байгууллага, Засгийн газрын агентлаг, аймаг, нийслэлийн Засаг даргын Тамгын газрын үйл ажиллагааг дараах үзүүлэлтээр дүгнэнэ:
4.2.1. төрийн захиргааны төв байгууллага болон Засгийн газрын агентлагийн үйл ажиллагааг:
4.2.1.1. "Алсын хараа-2050" Монгол Улсын урт хугацааны хөгжлийн бодлогын хэрэгжилтийн явц, үр дүн;
4.2.1.2. улсын хөгжлийн жилийн төлөвлөгөөний хэрэгжилт;
4.2.1.3. байгууллагын гүйцэтгэлийн төлөвлөгөөний биелэлт;
4.2.1.4. төрийн албан хаагчийн сургалт, ажиллах нөхцөл, нийгмийн баталгааг хангах хөтөлбөрийн хэрэгжилт;
4.2.1.5. хууль тогтоомж, тогтоол шийдвэрийн хэрэгжилт;
4.2.1.6. нээлттэй мэдээллийн ил тод байдал, шилэн дансны хөтлөлтийн үнэлгээ;
4.2.1.7. төрийн албан хаагчдын сэтгэл ханамжийн судалгааны дүн;
4.2.1.8. байгууллагын шударга байдлын үнэлгээ;
4.2.1.9. хэрэглэгчийн үнэлгээ;
4.2.1.10. ёс зүй, сахилга хариуцлагын үнэлгээ;
4.2.1.11. хяналт-шинжилгээний дүнгээр хүргүүлсэн зөвлөмжийн хэрэгжилт;
4.2.1.12. санхүүгийн аудитын дүгнэлт, зөвлөмж;
4.2.1.13. хүний нөөцийн үйл ажиллагаан дахь чадахуйн зарчмын хэрэгжилт.
4.2.2. аймаг, нийслэлийн Засаг даргын Тамгын газрын үйл ажиллагааг:
4.2.2.1. "Алсын хараа-2050" Монгол Улсын урт хугацааны хөгжлийн бодлогын хэрэгжилтийн явц, үр дүн;
4.2.2.2. аймаг, нийслэлийн хөгжлийн жилийн төлөвлөгөөний хэрэгжилт;
4.2.2.3. байгууллагын гүйцэтгэлийн төлөвлөгөөний биелэлт;
4.2.2.4. төрийн албан хаагчийн сургалт, ажиллах нөхцөл, нийгмийн баталгааг хангах хөтөлбөрийн хэрэгжилт;
4.2.2.5. хууль тогтоомж, тогтоол шийдвэрийн хэрэгжилт;
4.2.2.6. нээлттэй мэдээллийн ил тод байдал, шилэн дансны хөтлөлтийн үнэлгээ;
4.2.2.7. төрийн албан хаагчдын сэтгэл ханамжийн судалгааны дүн;
4.2.2.8. байгууллагын шударга байдлын үнэлгээ;
4.2.2.9. хэрэглэгчийн үнэлгээ;
4.2.2.10. ёс зүй, сахилга хариуцлагын үнэлгээ;
4.2.2.11. хяналт-шинжилгээний дүнгээр хүргүүлсэн зөвлөмжийн хэрэгжилт;
4.2.2.12. санхүүгийн аудитын дүгнэлт, зөвлөмж;
4.2.2.13. хүний нөөцийн үйл ажиллагаан дахь чадахуйн зарчмын хэрэгжилт.
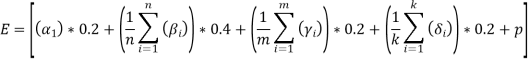
4.3. Байгууллагын тухайн жилийн үйл ажиллагааг дүгнэхдээ үзүүлэлт бүрийн дүнг 100 хүртэл хувиар илэрхийлэн, нийлбэр үнэлгээний арифметик дунджийг харгалзах жинд шилжүүлж, дараах аргачлалаар тооцно.
.png)
Үүнд: Е - ерөнхий үнэлгээ;
- бодлогын дүн;
- байгууллагын чиг үүргийн үзүүлэлтийн дүн;
- хөндлөнгийн болон оролцогч талуудын дүн;
- байгууллагын чадамжийн үнэлгээ;
p - нэмэлт оноо (байгууллагын ерөнхий дүнгийн өөрчлөлтийн хувийг 10 оноогоор үржүүлнэ)
n - байгууллагын чиг үүргийн үзүүлэлтийн тоо;
m - хөндлөнгийн болон оролцогч талуудын үзүүлэлтийн тоо;
k - байгууллагын чадамжийн үнэлгээний үзүүлэлтийн тоо;
i - үзүүлэлтийн дугаар.
4.4. Байгууллагын үйл ажиллагааны ерөнхий дүнгийн өөрчлөлтийг дараах аргачлалаар тооцно.
.png)
Үүнд:
- байгууллагын үйл ажиллагааны ерөнхий дүнгийн өөрчлөлт;
- тухайн жилийн ерөнхий дүн;
- өмнөх жилийн ерөнхий дүн.
4.5. Байгууллагын үйл ажиллагааны нэмэлт оноо (p)-г тооцоход журмын 4.4-т заасан аргачлалын дагуу тооцсон ерөнхий үнэлгээний өөрчлөлтийг үндэслэн дараах оноогоор нэмэгдүүлнэ:
- 1 - 3 хүртэл нэгж хувь - 2.5 оноо;
- 3 - 5 хүртэл нэгж хувь - 5 оноо;
- 5 - 7 хүртэл нэгж хувь - 7.5 оноо;
- 7 - оос дээш нэгж хувиар нэмэгдсэн бол 10 оноо.
4.6. Байгууллагын нээлттэй мэдээллийн ил тод байдлын үнэлгээг хууль зүйн асуудал эрхэлсэн төрийн захиргааны төв байгууллагын дэргэд ажиллах орон тооны бус зөвлөл, шилэн дансны хөтлөлтийн үнэлгээг санхүү, төсвийн асуудал эрхэлсэн төрийн захиргааны төв байгууллага хууль тогтоомжид заасны дагуу тус тус гаргаж, энэ журмын 1 дүгээр хавсралтад заасан хугацаанд Хяналт хэрэгжүүлэх газарт хүргүүлнэ.
4.7. Байгууллагын ёс зүй, сахилга хариуцлагын үнэлгээг Төрийн албаны зөвлөлийн дэргэдэх Ёс зүйн хороо нь тухайн байгууллагын Ёс зүйн дэд хорооны үйл ажиллагаа, үр дүнгийн тайланд үндэслэн дүгнэж, энэ журмын 1 дүгээр хавсралтад заасан хугацаанд Хяналт хэрэгжүүлэх газарт хүргүүлнэ.
4.8. Байгууллагын хүний нөөцийг бүрдүүлэх үйл ажиллагаан дахь чадахуйн зарчмын хэрэгжилтийн үнэлгээг Төрийн албаны зөвлөл жил бүр дүгнэж, энэ журмын 1 дүгээр хавсралтад заасан хугацаанд Хяналт хэрэгжүүлэх газарт хүргүүлнэ.
4.9. Үндэсний аудитын газар нь төрийн захиргааны төв байгууллага болон Засгийн газрын агентлаг, аймаг, нийслэлийн Засаг даргын Тамгын газрын тухайн жилийн санхүүгийн аудитын дүгнэлт, зөвлөмжийн хэрэгжилтийн дүнг нэгтгэн, дүгнэж энэ журмын 1 дүгээр хавсралтад заасан хугацаанд Хяналт хэрэгжүүлэх газарт хүргүүлнэ.
4.10. Авлигатай тэмцэх газар байгууллагын шударга байдлын түвшний үнэлгээг хийж, энэ журмын 1 дүгээр хавсралтад заасан хугацаанд Хяналт хэрэгжүүлэх газарт хүргүүлнэ.
4.11. Энэ журмын 4.6 - 4.10-д зааснаас бусад үзүүлэлтийг Хяналт хэрэгжүүлэх газар дүгнэнэ.
4.12. Төрийн үйлчилгээний чанар, хүртээмжийн талаар хэрэглэгчийн үнэлгээ хийх ажлыг Монгол Улсын сайд, Хяналт, үнэлгээний Үндэсний хорооны даргын баталсан ерөнхий удирдамжийн хүрээнд жил бүр Хяналт хэрэгжүүлэх газар зохион байгуулна.
4.13. Байгууллага нь салбарын болон орон нутгийн хэмжээнд бодлогын баримт бичгийн үр дүн, үр нөлөөг судлах, байгууллагын үйл ажиллагааг сайжруулах зорилгоор хэрэглэгчийн үнэлгээ болон судалгаа хийж болно.
4.14. Хэрэглэгчийн үнэлгээг хөндлөнгийн судалгааны байгууллага болон мэргэшсэн төрийн бус байгууллагаар гэрээний үндсэн дээр гүйцэтгүүлж болно.
4.15. Төрийн албан хаагчийн сэтгэл ханамжийн судалгааг Монгол Улсын сайд, Хяналт, үнэлгээний Үндэсний хорооны даргын баталсан асуумжийн хүрээнд төрийн захиргааны төв байгууллага, Засгийн газрын агентлаг, аймаг, нийслэлийн Засаг даргын Тамгын газрыг хамруулан Засгийн газрын Хэрэг эрхлэх газар, Хяналт хэрэгжүүлэх газар хамтран зохион байгуулна.
4.16. Хяналт хэрэгжүүлэх газар энэ журмын 4.12, 4.14, 4.15-д заасан үнэлгээ, судалгааг хэрэгжүүлэхэд шаардагдах зардлыг жил бүр байгууллагын төсөвтөө тусгаж, санхүүжүүлнэ.
4.17. Хяналт хэрэгжүүлэх газар төрийн захиргааны төв байгууллага, Засгийн газрын агентлаг, аймаг, нийслэлийн Засаг даргын Тамгын газрын жилийн үйл ажиллагааны ерөнхий дүнг зохих журмын дагуу Засгийн газрын хуралдаанаар хэлэлцүүлэх арга хэмжээ авна.
ТАВ. БАЙГУУЛЛАГЫН ҮЙЛ АЖИЛЛАГААНЫ ДҮНГ ҮНДЭСЛЭН АВАХ АРГА ХЭМЖЭЭ
5.1. Байгууллагын үйл ажиллагааны ерөнхий дүнг үндэслэн Хяналт хэрэгжүүлэх газар дараах арга хэмжээг авч хэрэгжүүлнэ:
5.1.1. Засгийн газрын хуралдаанаас гарсан шийдвэр, хяналт-шинжилгээний тайлан, зөвлөмжийг холбогдох байгууллага, албан тушаалтанд хүргүүлж, хяналт тавих;
5.1.2. ерөнхий дүнгээр эхний 3 байр эзэлсэн төрийн захиргааны төв байгууллага болон аймаг, нийслэлийн Засаг даргын Тамгын газрыг тус бүр 50 хүртэл сая төгрөгийн, Засгийн газрын агентлагийг тус бүр 20 хүртэл сая төгрөгийн мөнгөн урамшуулал олгох саналыг Засгийн газарт уламжлах;
5.1.3. байгууллагын үйл ажиллагааны үзүүлэлт бүрээр шилдэг байгууллагыг шалгаруулж, сайн туршлагыг түгээх арга хэмжээ авах;
5.1.4. байгууллагын тэргүүний арга, туршлагыг түгээн дэлгэрүүлэх, хэвлэл мэдээллийн хэрэгслээр олон нийтийн хүртээл болгох ажлыг хамтран зохион байгуулах;
5.1.5. шаардлагатай тохиолдолд удирдамжийн дагуу газар дээр нь хяналт шалгалт хийж, дүгнэлт гаргах.
5.2. Байгууллага нь Хяналт хэрэгжүүлэх газраас хүргүүлсэн зөвлөмжийн дагуу дараах арга хэмжээг авч хэрэгжүүлнэ:
5.2.1. алдаа дутагдлыг засаж, хэрэгжээгүй буюу хэрэгжилт хангалтгүй арга хэмжээг дараа оны төлөвлөгөөнд тусгаж, хэрэгжилтийг хангуулах;
5.2.2. байгууллагын үйл ажиллагааг сайжруулах ажлын төлөвлөгөө боловсруулж, хэрэгжилтийг тайлагнах;
5.2.3. байгууллагын үйл ажиллагааны үр дүнг дээшлүүлэх чиглэлээр сургалт зохион байгуулах;
5.2.4. Хяналт хэрэгжүүлэх газраас хүргүүлсэн зөвлөмжийн дагуу авч хэрэгжүүлсэн арга хэмжээний тайланг тухайн оны 4 дүгээр улиралд багтаан цахимаар тайлагнана.
5.3. Энэ журмын 5.1.2-т заасан урамшуулалд шаардагдах зардлыг Монгол Улсын сайд, Хяналт, үнэлгээний Үндэсний хорооны даргын жил бүрийн төсвийн багцаас санхүүжүүлнэ.
ЗУРГАА. ХАРИУЦЛАГА
6.1. Байгууллагын үйл ажиллагааны хэрэгжилтийн ерөнхий дүнгээр 2 жил дараалан ахиц өөрчлөлт гаргаагүй буюу "хангалтгүй" дүгнэгдсэн салбар хариуцсан Засгийн газрын гишүүн, яамны Төрийн нарийн бичгийн дарга, аймаг, нийслэлийн Засаг дарга болон Тамгын газрын ( нэгжийн ) дарга, төрийн болон орон нутгийн өмчит хуулийн этгээдийн удирдлага холбогдох хууль тогтоомжид заасан хариуцлага хүлээнэ.
-----о0о-----